Parameterizing the Weibull for proportional hazards

I received a question the other day by email regarding the parameterization of the Weibull survival model which is included in both SurvivalStan (a Python package) and biostan, an R mini-package I put together for a BioConductor workshop held in 2016.

The question read:

Hi Jacki,

I wonder if you might be able to help me with a question? I have been looking at stan recently for survival models and I noticed the biostan repository, which is quite a helpful resource. However, the Weibull models contain a parameterisation that I am not familiar with whereby the scale parameter is specified as exp(-(mu)/alpha), highlighted below. Are you able to explain where this comes from and why it is used?

Many thanks

Mark

Since the parameterization used here is fairly standard practice for implementing Weibull survival models in Stan, I thought it would useful to share here my response.

Here is the full Stan code for this model :

data {
  int Nobs;
  int Ncen;
  vector[Nobs] yobs;
  vector[Ncen] ycen;
}
transformed data {
  real tau_mu;
  real tau_al;
  tau_mu = 10.0;
  tau_al = 10.0;
}
parameters {
  real alpha_raw;
  real mu;
}
transformed parameters {
  real alpha;
  alpha = exp(tau_al * alpha_raw);
}
model {
  // yobs ~ weibull(alpha, exp(-(mu)/alpha));
  target += weibull_lpdf( yobs | alpha, exp(-(mu)/alpha));
  
  // the lccdf is the complementary cumulative dist = 1 -Fx = survival function
  target += weibull_lccdf(ycen | alpha, exp(-(mu)/alpha));
  
  alpha_raw ~ normal(0.0, 1.0);
  mu ~ normal(0.0, tau_mu);
}

The relevant section is higlighted above and appears in the model block twice: exp(-(mu)/alpha).

There are two parts to Mark’s question:

  1. Where did this come from?
  2. Why is it parameterized like this?

I will start with the response to the first question, which is that I borrowed this from the parameterization used in the https://github.com/stan-dev/example-models repository, specifically the one based on the mice model from the BUGS example models, re-parameterized for Stan here.

As to the second question, this is easier to see given the parameterization in the BUGS example mu = exp(Bz); the short answer is that it leads to proportional hazards. The expression in Stan sigma = exp(-Bz/alpha) is a direct translation of the BUGS model, given how the weibull pdfs are implemented in Stan and BUGS.

Before going into detail on the proportional hazards, let’s review the parameterizations to confirm they are equivalent.

The Weibull in BUGS vs Stan

Paraphrasing this SO question,

Stan’s parameterization of weibull_lpdf(x | a, b) with (a = \(\alpha\), b = \(\sigma\)) is:

\[ (^a/_b)(^x/_b)^{a-1} \text{exp}(- (^x/_b)^a) \]

Whereas the BUGS parameterization of x ~ weibull(ν, λ) is:

\[ \nu \lambda x^{\nu-1}\text{exp}(-\lambda x^\nu) \]

Is our version of the model equivalent?

To test whether the Stan model above is consistent with the parameterization given in the BUGS example, let’s consider a survival model with a linear predictor mu = Bz.

Our Stan model has:

  • weibull_lpdf(x | a, b)
  • b = exp(-mu/a)

Substituting into the PDF according to R/Stan is:

\[ \displaystyle\frac{a}{{b}}\cdot{\left(\frac{x}{{b}}\right)}^{{{a}-{1}}}\cdot \exp{{\left(-{\left(\frac{x}{{b}}\right)}^{a}\right)}} \\ = \displaystyle\frac{a}{ \exp{{\left(-\frac{\mu}{{a}}\right)}}}{\left(\frac{x}{ \exp{{\left(-\frac{\mu}{{a}}\right)}}}\right)}^{{{a}-{1}}} \exp{{\left(-{\left(\frac{x}{ \exp{{\left(-\frac{\mu}{{a}}\right)}}}\right)}^{a}\right)}} \]

Which simplifies to (per wolfram-alpha):

\[ = \displaystyle\frac{{{a}{e}^{{-{\left({x}{e}^{{\frac{\mu}{{a}}}}\right)}^{a}}}{\left({x}{e}^{{\frac{\mu}{{a}}}}\right)}^{a}}}{{x}} \\ = \displaystyle{a}{x}^{{{a}-{1}}}{e}^{{\mu-{e}^{\mu}{x}^{a}}} \]

The analogous BUGS mice model would be:

  • x ~ weibull(a, lambda)
  • lambda = exp(mu)

Substituting these terms into the PDF according to BUGS yields:

\[ \displaystyle{a}λ{x}^{{{a}-{1}}} \exp{{\left(-λ{x}^{a}\right)}} \\ = \displaystyle{a} \exp{{\left(\mu\right)}}{x}^{{{a}-{1}}} \exp{{\left(- \exp{{\left(\mu\right)}}{x}^{a}\right)}} \\ \]

Which simplifies to (per wolfram alpha):

\[ = \displaystyle{a}{x}^{{{a}-{1}}}{e}^{{\mu-{e}^{\mu}{x}^{a}}} \]

Thus the two parameterizations are equivalent.

But, why the gymnastics to implement the BUGS example?

Now that we have established that the two parameterizations are equivalent, we can better understand how setting sigma = exp(-mu/a) leads to proportional hazards.

Using the syntax of the BUGS implementation, the hazard at time \(x\) is proportional to the value of \(\lambda\):

\[ \displaystyle{h}{\left({x}{|}{a},λ\right)}={a}λ{x}^{{{a}-{1}}} \]

By setting lambda = exp(mu), we get a standard proportional hazards model with a shape depending on the parameter a.

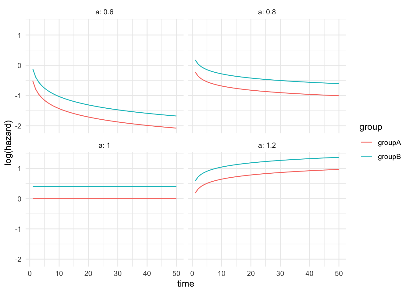
For example, the hazard for a model with mu = Xb where we have a single single binary covariate and an estimated \(\beta\) = 0.4 is proportional on the log-scale as expected.

log(Hazard) values for a hypothetical Weibull PH survival model with $eta$ = 0.4 for several values of a.

Figure 1: log(Hazard) values for a hypothetical Weibull PH survival model with \(eta\) = 0.4 for several values of a.

The shape of the hazard depends on the value of a – increasing when a > 0 and decreasing when 0 > a > 1.

There isn’t a ton of flexibility re: the shape of the hazard with the Weibull, but it has a number of nice properties (Carroll 2003) making it a standard tool in parametric survival analysis.

References

Carroll, Kevin J. 2003. “On the Use and Utility of the Weibull Model in the Analysis of Survival Data.” Controlled Clinical Trials 24 (6): 682–701. https://doi.org/10.1016/S0197-2456(03)00072-2.

Avatar
Jacqueline Buros Novik
Computational Biologist / Biostatistician

Related

comments powered by Disqus